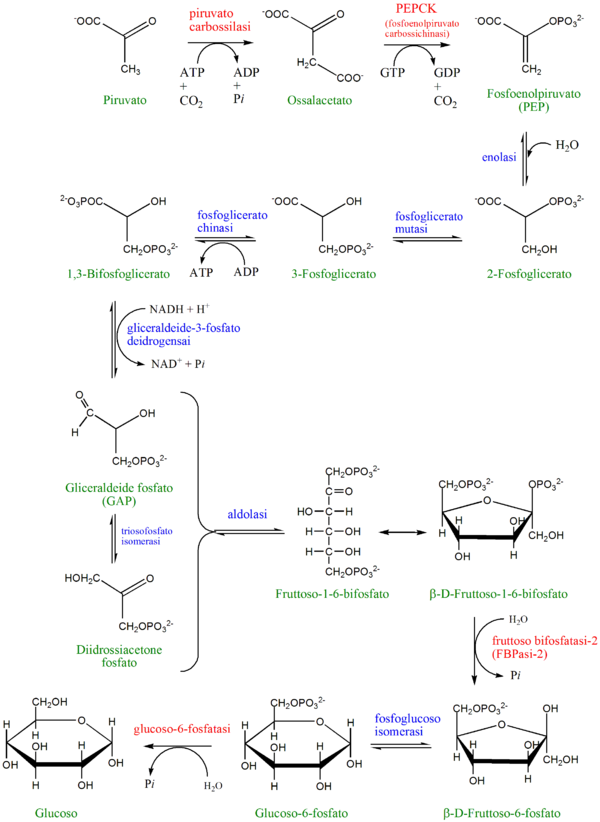
La fosfoenolpiruvato carbossichinasi (o PEPCK) è un enzima appartenente alla classe delle liasi che catalizza il primo passaggio della gluconeogenesi, ovvero la reazione:
- GTP ossalacetato → GDP fosfoenolpiruvato CO2
Questa reazione usa come cofattore essenziale lo ione Mg2 , evento frequente in presenza di nucleotidi trifosfato. Analizzando la modalità di lavoro dell'enzima, esso risulta avere sia una componente liasica che chinasica.
Sono stati creati in laboratorio dei topi con una sovraespressione di PEP-CK fosfoenolpiruvato carbossichinasi che arriva ad essere 100 volte superiore al normale.
L'enzima nella gluconeogenesi
Secondo un gergo specifico, questo enzima risulta essere asservito alla via gluconeogenetica. Esso catalizza infatti una reazione di per sé reversibile che, tuttavia, in vivo è spostata fortemente verso destra dalla legge di azione di massa, fino a farla apparire praticamente irreversibile. Il fosfoenolpiruvato (o PEP), infatti, viene velocemente consumato (a seconda dei bisogni della cellula) dall'enzima enolasi, posto immediatamente dopo lungo il pathway di biosintesi del glucosio. L'attività dell'enzima è finemente regolata dall'ormone glucagone.
Lo shuttle malico
L'enzima è di localizzazione citosolica, anche se il suo substrato (l'ossaloacetato) è prodotto dalla piruvato carbossilasi all'interno del mitocondrio. Non potendo l'ossaloacetato attraversare la barriera interna del mitocondrio (e non avendo un trasportatore di membrana specifico), esso viene portato dentro il citoplasma tramite il sistema dello shuttle malico. Esso consiste nella conversione del composto in malato all'interno del mitocondrio (attraverso la malato deidrogenasi, che consuma una molecola di NADH) e nella riconversione del malato ad ossaloacetato presso il citosol (attraverso un'altra molecola di malato deidrogenasi): il malato possiede infatti uno specifico trasportatore di membrana. Nella ossidazione citosolica che riconverte il malato ad ossalacetato si produce NADH indispensabile in una successiva reazione della via glucogenetica. Se è attiva la gluconeogenesi è inattiva la glicolisi che è la via che genera NADH citosolico.
Bibliografia
- Change, H.-C. e Lane, M.D. The enzymatic carboxylation of phosphoenolpyruvate. II. Purification and properties of liver mitochondrial phosphoenolpyruvate carboxykinase. J. Biol. Chem. 241 (1966) 2413–2420. Entrez PubMed 5911620
- Kurahashi, K., Pennington, R.J. e Utter, M.J. Nucleotide specificity of oxalacetic carboxylase. J. Biol. Chem. 226 (1957) 1059–1075. Entrez PubMed 13438893




